
工業測量中氣體香蕉视频成人版的幾種常用測量方法由WWW香蕉视频下载股份為您整理,歡迎閱讀了解。
速度公式香蕉视频成人版
速度公式香蕉视频成人版是基於在封閉管道中直接測量滿管流速的原理的香蕉视频成人版類型。工業應用主要包括:
(1)渦輪香蕉视频成人版:當流體流經渦輪流量傳感器時,渦輪在流體推力的作用下被迫旋轉,其轉速與管道的平均流量成正比。渦輪的旋轉周期性地改變磁電轉換器的磁電阻值,並且檢測線圈中的磁通量周期性地改變以產生周期性的電脈衝信號。在一定的流量(雷諾數)範圍內,電脈衝信號與流經渦輪流量傳感器的流體體積流量成比例。渦輪機香蕉视频成人版的理論流量方程為:

其中n是渦輪機速度;Qv是體積流量;a是與流體物理性質(密度、粘度等)相關的參數。)和渦輪結構參數(渦輪傾角、渦輪直徑、流道橫截麵積等。);b是與渦輪頂部間隙和流體流速分布相關的係數;c是與摩擦力矩相關的係數。
(2)渦街香蕉视频成人版:在流體中放置非流線型渦流發生器,流體在渦流發生器的兩側交替地分離和釋放兩排規則的和交替布置的渦街。在一定的流量(雷諾數)範圍內,渦流的分離頻率與流經渦流傳感器的流體體積流量成正比。渦街香蕉视频成人版的理論流量方程為:

其中qf是工作條件下的體積流量,m3/s;d是表麵直徑,mm;m是渦流發生器兩側的弓形麵積與管道橫截麵積的比值;d是渦流發生器上遊麵的寬度,mm;f是渦流產生的頻率,赫茲;Sr是斯特魯哈爾數,無量綱。
(3)旋進渦輪香蕉视频成人版:當流體通過由螺旋導向葉片組成的旋轉器時,流體被迫圍繞中心線強烈旋轉以形成渦流輪,並且當通過擴大的管時,渦流中心沿著錐形螺旋旋進。在一定的流量(雷諾數)範圍內,渦流的進動頻率與流過進動渦流傳感器的流體體積流量成正比。旋進旋渦香蕉视频成人版的理論流動方程為:

其中qf是工作條件下的體積流量,m3/s;f是渦流頻率,赫茲;K 香蕉视频成人版儀器係數,P/m3(p =脈衝數)。
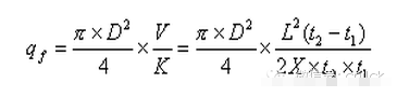
④時差超聲波香蕉视频成人版:當超聲波通過流動的流體時,在相同的傳播距離內,其沿下遊方向和沿上遊方向的傳播速度不同。在很寬的流量範圍內(雷諾數),時間差與管道中被測流體的體積流量(平均流量)成正比。超聲波香蕉视频成人版的流量方程為:

其中qf是工作條件下的體積流量,m3/s;v是超聲波換能器盤1和2之間的傳播路徑上的流體的通道長度,m;l是超聲波在換能器1和2之間的傳播路徑上的通道長度,m;x是傳播路徑的軸向分量,m;T1是超聲波向下遊傳播的時間,S;T2是超聲波逆流傳播的時間。
速度類型氣體香蕉视频成人版通常由流量傳感器和指示器組成。壓力計(傳感器或變送器)、溫度計(傳感器或變送器)、流量累加器(溫度和壓力補償)或香蕉视频成人版計算器(溫度和壓力以及壓縮因子補償)應針對溫度和壓力變化進行配置。對於要求更高精度的場合(例如,貿易天然氣),額外設置在線色譜儀以連續分析組分或物理性質值,混合氣體以計算壓縮係數、密度、熱值等。
音量香蕉视频成人版
在體積香蕉视频成人版的內部,有一個固定的大空間和一組旋轉體,旋轉體將空間分成幾個已知體積的小空間,如腰輪、隔膜、鼓、刮刀、橢圓齒輪、活塞、螺杆等。旋轉體在流體壓力差的作用下連續旋轉,從已知體積的小空間連續排出流體。根據旋轉體在一定時間內旋轉的次數,可以獲得流體流過的體積。體積香蕉视频成人版理論香蕉视频成人版計算公式:

其中qf是工作條件下的體積流量,m3/s;n是旋轉體的速度,周期/秒;v是旋轉體每轉排出的流體體積,m3/轉。
在標準狀態下,體積香蕉视频成人版時體積香蕉视频成人版的計算公式與速度香蕉视频成人版時的計算公式相同。氣體正位移香蕉视频成人版是一種機械儀器,通常由測量體和積分器組成。溫度和壓力變化需要壓力表(傳感器或變送器)、溫度計(傳感器或變送器)、流量累加器(溫度和壓力補償)或香蕉视频成人版計算器(溫度和壓力以及壓縮因子補償)。
差壓類型香蕉视频成人版
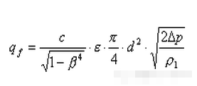
差壓公式香蕉视频成人版基於伯努利方程和流體連續性方程。根據節流原理,當流體流經節流元件(如標準孔板、標準噴嘴、長直徑噴嘴、經典文丘裏噴嘴、文丘裏噴嘴等)時。),節流元件前後產生壓差。壓差值與流量的平方成正比。在壓差式香蕉视频成人版中,標準節流孔節流裝置壓差香蕉视频成人版因其結構簡單、製造成本低、研究較徹底和標準化而得到廣泛應用。孔板香蕉视频成人版理論香蕉视频成人版計算公式為:

其中qf是工作條件下的體積流量,m3/s;c為流出係數,無量綱鋼;β=d/D/d,無因次鋼;d為工作狀態下孔板的內徑,mm;d為工況下上遊管道的內徑,mm;ε是膨脹係數,無量綱鋼;δp是孔板前後的壓差,Pa;ρ1是工作條件下的流體密度,kg/m3。對於天然氣,標準條件下天然氣累計流量的實用計算公式為:
其中qn為自然氣體標準狀態下的產品流速,m3/s;作為第二個測量係數,取決於所采用的測量單位,該公式為3.1794×10-6;c是流出係數;e是漸近速度係數;d為工作狀態下孔板的內徑,mm;FG是相對密度係數,ε是膨脹係數;FZ是超級壓縮因子;英尺是流動濕度係數;P1是孔板上遊側取壓孔氣流的絕對靜壓,兆帕;δp是氣流通過孔板時產生的壓差。
以上是香蕉视频成人版幾種常用的測量方法。
WWW香蕉视频下载是優質渦輪香蕉视频成人版電磁香蕉视频成人版廠家,期待為您服務。以上就是工業測量中氣體香蕉视频成人版的幾種常用測量方法全文內容。
郵箱:690147242@qq.com
地址:安徽省天長市經濟開發區 電話:15222906608(微信同號)
微信二維碼